Home Research Papers Vitae Resources Contact

Table of nuclides

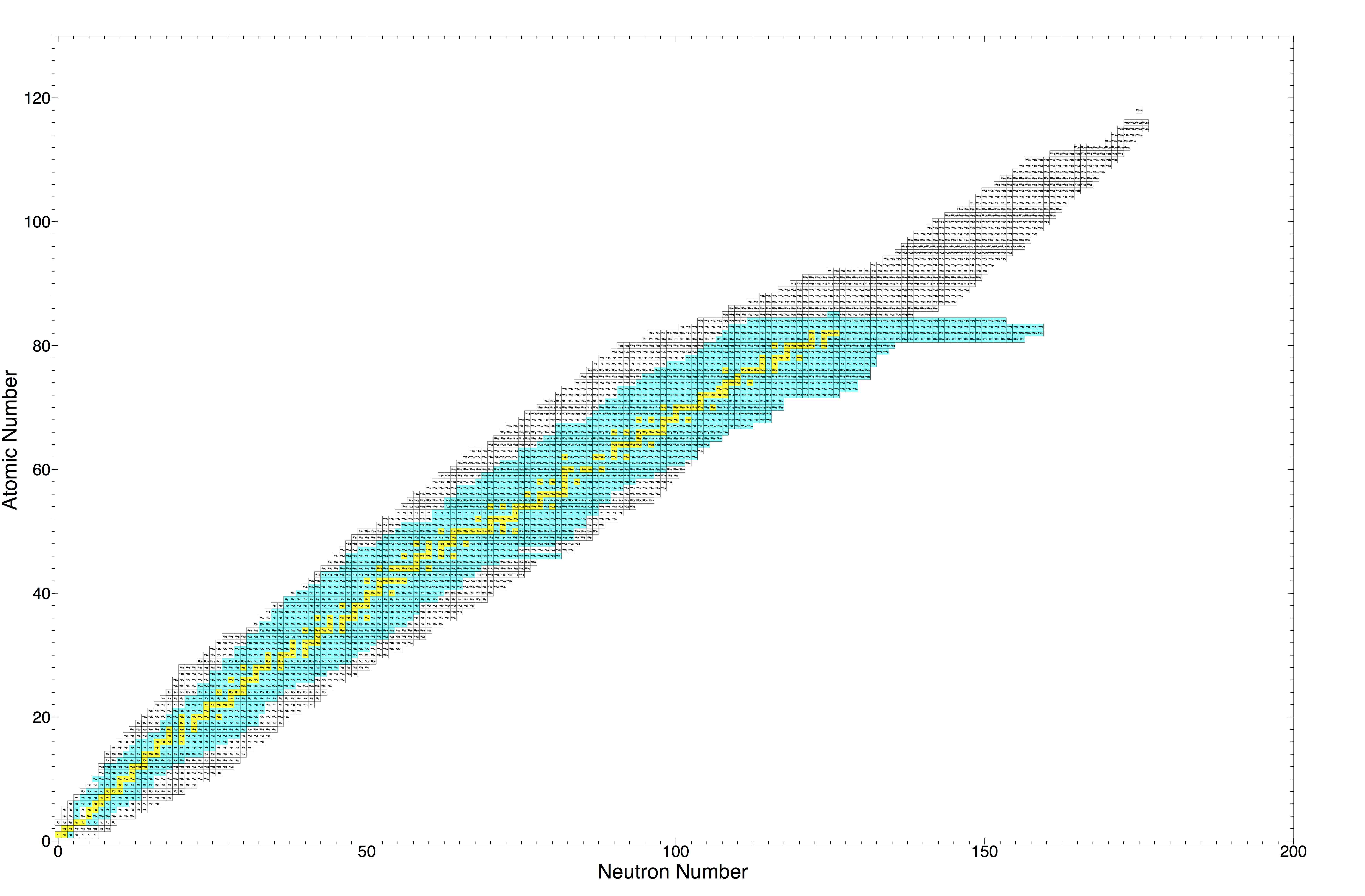
When working with nucleosynthetic models I find it useful to be able to plot the nuclides used in the reaction network. Below I have plotted stable nuclides in yellow, nuclides used by Woosley 2007 in blue and all others in white.

Periodic Table

I have made a periodic table based on the excellent TikZ Latex code of Ivan Griffin. You can get the original table here. Using this code it is very easy to customise the table to show variations between elements, for example, which elements have isotope anomalies in meteorites.

Below I have shaded elements which show nucleosynthetic isotope anomalies in bulk meteorites and meteoritic components. I made this some time ago so I apologise if I have left off your favourite element. Some elements, such as O and S, show isotope anomalies due to non-mass-dependent fractionation in the early Solar System or in terrestrial planet atmospheres. As these variations are not nucleosynthetic I have not shaded them.

Corner Speeds in Formula 1

During a discussion on F1Fanatic of design philosophies of formula 1 cars I made a probability density function of F1 corner speeds.

Telescopes

Diagrams of the ray paths in reflecting telescopes

Meteorite Locations

A map of the find or fall locations of meteorites which I measured or worked on during my PhD